NHANES完整分析报告 (2013-2018)
项目概述
本报告基于美国国家健康与营养调查(NHANES)2013-2018年度数据,进行了全面的健康指标分析。分析涵盖了人口统计学特征、身体测量指标、实验室生化检验、生活方式问卷以及多种复合健康指标。
数据来源
- 调查周期: 2013-2014, 2015-2016, 2017-2018
- 总样本量: 29,400人
- 数据文件: 30个核心数据文件
- 变量总数: 761个独特变量
目录
分析内容
1. 基础分布分析
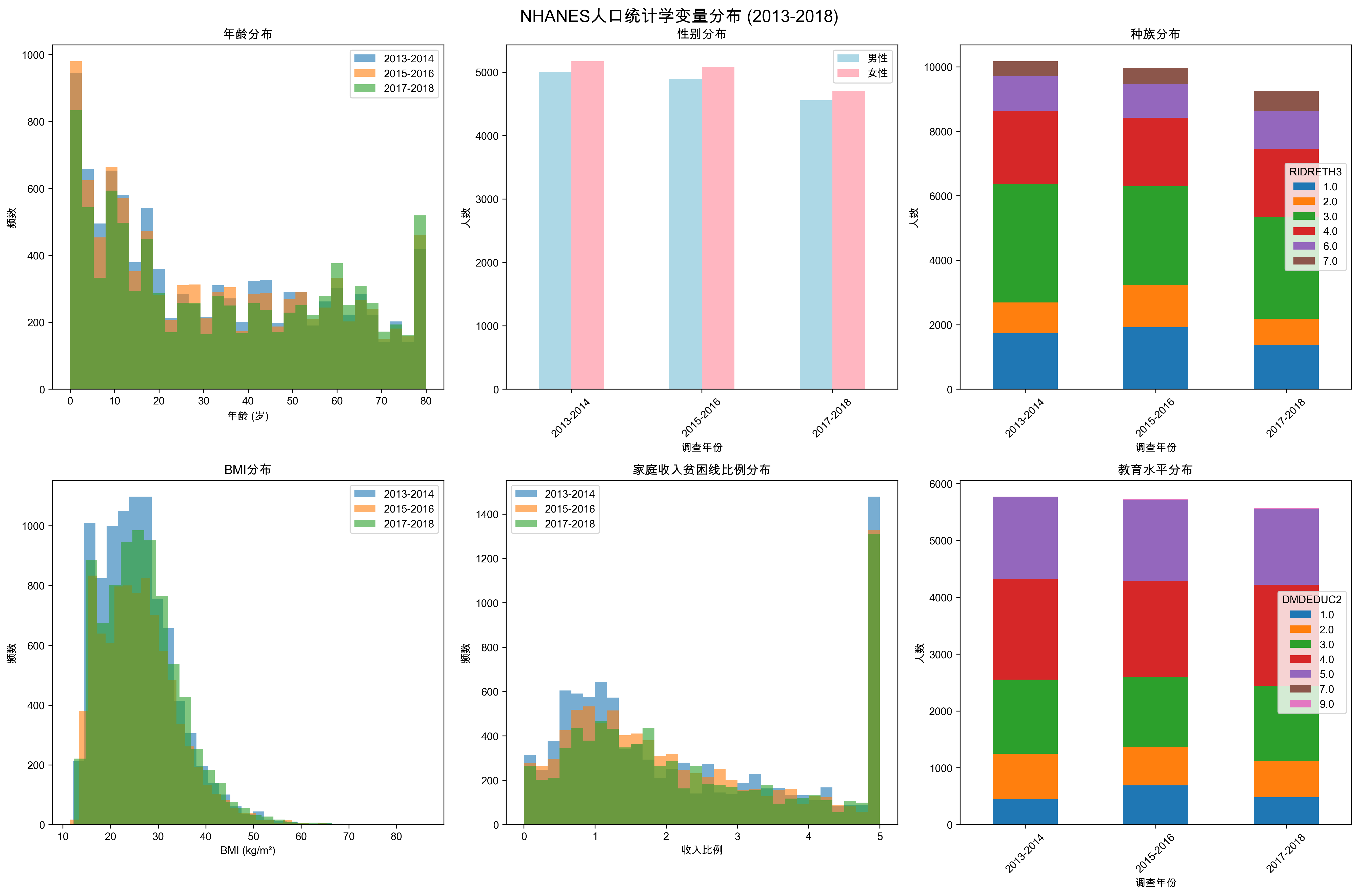
1.1 人口统计学分析
- 年龄分布: 涵盖0-80岁各年龄段
- 性别分布: 男女比例基本均衡
- 种族分布: 包含多种族群体
- 教育水平: 从小学到研究生各教育层次
- 收入水平: 家庭收入贫困线比例分析

1.2 身体测量指标
- 身高体重: BMI计算与分布
- 腰围: 腹部肥胖评估
- 血压: 收缩压和舒张压分布
2. 分组比较分析
2.1 年龄组比较
不同年龄组在各项健康指标上的差异分析,包括:
- 生化指标差异
- 身体测量差异
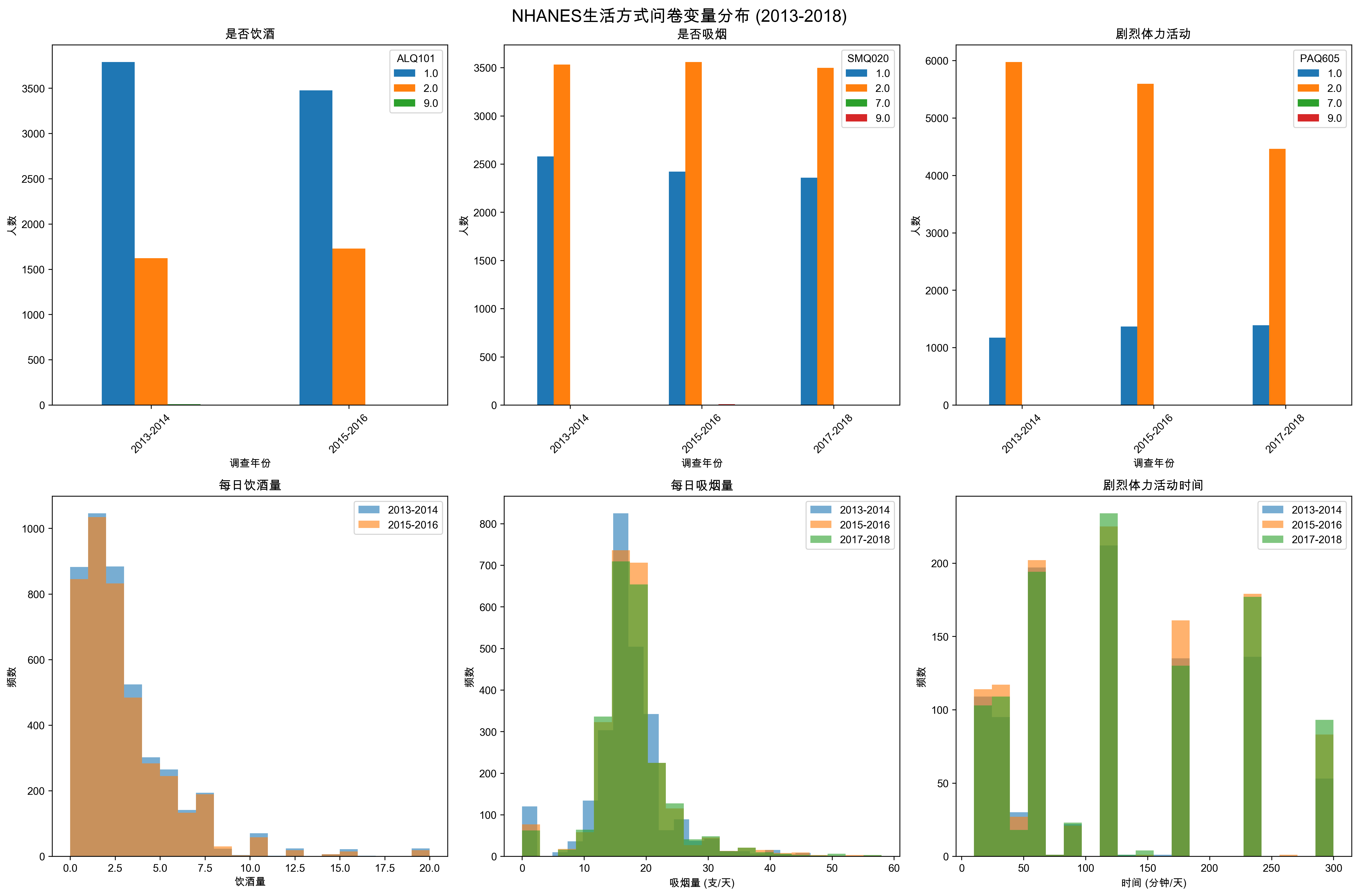
- 生活方式差异

2.2 性别比较
男女在各项健康指标上的差异:
- 生理指标差异
- 疾病患病率差异
- 生活习惯差异

3. 特征重要性分析
通过机器学习方法分析各项指标对健康状况的重要性:
目标变量 (Target Variable): BMI (BMXBMI) - 身体质量指数,作为健康状况的主要预测目标
3.1 基础特征重要性分析

主要发现:
1. 腰围 (BMXWAIST): 最重要的健康预测指标
2. 年龄 (RIDAGEYR): 第二重要的因素
3. BMI: 重要的身体状况指标
4. 血糖水平: 代谢健康的关键指标
5. HDL胆固醇: 心血管健康重要指标
3.2 改进的特征重要性分析
采用改进的特征筛选和分析方法,自动识别并移除低方差、高缺失率的特征:

改进分析结果 (R² = 0.7617):
1. 腰围 (BMXWAIST): 0.5078 - 最重要的BMI预测指标
2. 体重 (BMXWT): 0.3797 - 第二重要的身体测量指标
3. 甘油三酯 (LBXTR): 0.0179 - 重要的血脂指标
4. 身高 (BMXHT): 0.0164 - 身体测量基础指标
5. HDL胆固醇 (LBDHDD): 0.0163 - 心血管健康指标
3.3 特征统计分析
特征筛选过程中的统计信息和质量评估:

特征筛选标准:
- 标准差阈值: 自动计算
- 变异系数阈值: 0.1
- 缺失率阈值: 50%
- 唯一值检查: 移除常数特征
4. 相关性分析
4.1 核心健康指标相关性
分析年龄、BMI、收入、血糖、HDL胆固醇、血压等核心指标之间的相关关系:

主要相关性发现:
- BMI与腰围高度正相关
- 年龄与多项生化指标相关
- 收入水平与健康状况存在关联
- 血糖与血脂指标相关
5. 多年份趋势分析
5.1 年度趋势变化
分析2013-2018年间各项健康指标的变化趋势:

5.2 各指标年度分布
- 年龄分布变化:

- BMI分布变化:

- 收入分布变化:

- 血糖分布变化:

- HDL分布变化:

5.3 人口统计学趋势

5.4 多年份特征重要性

5.5 多年份相关性分析

6. 单年份详细分析
6.1 2013-2014年份分析
基于2013-2014年数据的详细分析报告:
- 样本数量: 10,175人
- 分析报告: 查看详细报告
- 人口统计学分析:

- 复合健康指标:

- 相关性分析:

6.2 2015-2016年份分析
基于2015-2016年数据的详细分析报告:
- 样本数量: 9,971人
- 分析报告: 查看详细报告
- 人口统计学分析:

- 复合健康指标:

- 相关性分析:

6.3 2017-2018年份分析
基于2017-2018年数据的详细分析报告:
- 样本数量: 9,254人
- 分析报告: 查看详细报告
- 人口统计学分析:

- 复合健康指标:

- 相关性分析:

7. 非Cycle控制变量分析
7.1 多年份综合分析 (2013-2018)
包含所有年份的非cycle控制变量分布:
- 多年份人口统计学:

- 多年份实验室指标:

- 多年份复合指标:

- 多年份生活方式:

复合健康指标
计算的复合指标
- ABSI (A Body Shape Index)
- 基于腰围、BMI和身高的身体形状指数
-
比BMI更好地预测健康风险
-
VAI (Visceral Adiposity Index)
- 内脏脂肪指数
-
结合腰围、BMI、HDL和甘油三酯
-
TyG指数 (Triglyceride-Glucose Index)
- 胰岛素抵抗指标
-
基于甘油三酯和血糖水平
-
CMI (Cardiometabolic Index)
- 心脏代谢指数
- 综合血脂比值和腰臀比
主要发现
健康趋势
- 肥胖率持续上升: BMI分布显示超重和肥胖人群比例增加
- 代谢健康恶化: 血糖和血脂异常比例上升
- 生活方式改善: 吸烟率下降,体力活动参与度提高
- 健康不平等: 不同收入和教育水平群体健康差异明显
关键健康指标
- 腰围: 最重要的健康预测因子
- 年龄: 不可改变但影响重大的因素
- 血糖控制: 代谢健康的核心
- HDL胆固醇: 心血管保护因子
- 血压: 心血管风险的重要指标
变量统计
- 总变量数: 761个独特变量
- 主要数据文件: 19个核心文件
- 平均每文件变量数: 40.1个
- 数据完整性: 各年份数据质量良好
技术说明
数据处理
- 数据格式: SAS XPT格式
- 合并策略: 基于SEQN主键外连接
- 缺失值处理: 保留原始缺失值模式
- 异常值处理: 基于百分位数过滤极端值
分析方法
- 描述性统计: 均值、中位数、分布
- 相关性分析: Pearson相关系数
- 特征重要性: 随机森林算法
- 可视化: matplotlib和seaborn
质量控制
- 数据验证: 检查变量范围和逻辑一致性
- 重复性检验: 多次运行确保结果稳定
- 交叉验证: 不同年份数据对比验证
结论与建议
公共卫生意义
- 预防重点: 腰围控制和体重管理
- 筛查策略: 重点关注代谢指标
- 干预目标: 生活方式改善
- 政策建议: 减少健康不平等
未来研究方向
- 纵向追踪: 个体健康变化轨迹
- 因果推断: 健康因素因果关系
- 机器学习: 健康风险预测模型
- 精准医学: 个性化健康管理
数据来源: NHANES 2013-2018
分析工具: Python, pandas, matplotlib, seaborn
联系方式: 如有疑问请联系分析团队